Описание
Расширение исследовательского потенциала с помощью приборов BeNano 180 Zeta Pro представляет собой анализатор размера наночастиц нового поколения, принцип работы которого основан на методах рассеяния и пропускания света. Этот компактный прибор предназначен для точного измерения размера и концентрации частиц, дзета-потенциала и молекулярной массы.
Особенности модели BeNano 180 Zeta Pro
- Быстрые измерения
- Высокопроизводительный полупроводниковый лазер, высокая мощность, стабильность, длительный срок службы, низкие затраты на техническое обслуживание
- Интеллектуальная регулировка интенсивности в соответствии с соотношением сигнал-шум
- Эффективное увеличение отношения сигнал / шум за счет высокой чувствительности оптической системы
- Фазовый анализ рассеяния света. Измерение низкой электрофоретической подвижности и дзета-потенциала
- Одноразовая капиллярная кювета. Превосходная повторяемость измерений дзета-потенциала и позволяет избежать перекрестного загрязнения
- Интеллектуальный алгоритм оценки результатов, обработка качества сигнала для устранения влияния случайных событий
- Широкий диапазон контроля температуры от -10°C до 110°C удовлетворяющий требования к измерений образцов в различных температурных режимах
- Стабилизированная оптическая конструкция. Обеспечивает высокую повторяемость результатов без необходимости регулярного технического обслуживания
- Различные встроенные режимы расчета для охвата различных научных исследований и областей применения
Технические характеристики BeNano 180 Zeta Pro
| Размер частиц | |
| Диапазон размеров частиц | 0,3 нм — 15000 нм * |
| Минимальный размер выборки | 3 мкл |
| Угол измерения | 12 °, 90 °, 173 ° |
| Алгоритм анализа | кумулятивный, мультипик, CONTIN |
| Дзета-потенциал | |
| Угол обнаружения | 12 ° |
| Диапазон измерения дзета-потенциала | практического ограничения нет |
| Диапазон электрофоретической подвижности | < ± 2 × 10⁻⁷ м²/В·сек |
| Диапазон проводимости | 0 — 260 мСм /см* |
| Молекулярная масса | |
| Диапазон молекулярной массы | 342 Да — 2000 мДа * |
| Вязкость | |
| Диапазон вязкости | 0,01 сП — 100 сП * |
| Фактор взаимодействия | |
| kD | Практического ограничения нет |
| Параметры системы | |
| Диапазон регулирования температуры | -10 ° C — 110 ° C +/- 0,1 ° C |
| Контроль конденсации | cухой воздух или азот |
| Источник света | Твердотельный лазер, мощностью 50 МВт, 671 нм |
| Коррелятор | 100 нс — 8000 с, до 4000 каналов |
| Детектор | APD (высокоэффективный лавинный фотодиод) |
| Контроль интенсивности | 0,0001% — 100%, вручную или автоматически |
| Размер длина, ширина и высота | 62,5 x 40 x 24,5 см (22 кг) |
| Источник питания Адаптер | 100 ~ 240 В, 50/60 Гц, 200 Вт |
| Опционально | |
| Одноразовая кювета для микроэлементов | 40 мкл — 70 мкл |
| Кювета для микроэлементов из кварцевого стекла | 25 мкл — 50 мкл |
| Кювета для образцов с круглым отверстием | 1 мл — 1,5 мл |
| Комплект погружных ячеек | 1 мл – 1,5 мл, измерение дзета-потенциала для органических образцов |
*В зависимости от образцов и аксессуаров
Нормативная документация
- ГОСТ ISO 13099-2-2016 МЕТОДЫ ОПРЕДЕЛЕНИЯ ДЗЕТА-ПОТЕНЦИАЛА Часть 2 Оптические методы
- ISO 13321 Particle size analysis — Photon correlation spectroscopy.
- ISO 22412 Particle size analysis — Dynamic light scattering (DLS).
- ISO 13099-1 Colloidal systems — Methods for zeta-potential determination — Part 1: Electroacoustic and electrokinetic phenomena.
- ISO 13099-2 Colloidal systems — Methods for zeta-potential determination — Part 2: Optical methods
Аксессуары для измерения размера частиц
| Модель | Описание | Материал | Объем образца | Диапазон температур |
| Одноразовая кювета | Кювета, обычно используемая для водных проб | Полистирол | 1-1,5 мл | -10… +70°C |
| Кювета с квадратной крышкой | Кювета, обычно используемая для водных и органических проб | Стекло | 1-1,5 мл | -10… +110°C |
| Кювета с пробкой | Кювета, обычно используемая для водных и органических проб с улучшенными герметичными характеристиками | Стекло | 1-1,5 мл | -10… +110°C |
| Одноразовая микрокювета | Для водных проб с микрообъемом | ПММА | 40-70 мкл | -10… +70°C |
| Стеклянная микрокювета | Для водных проб с микрообъемом | Стекло | 25-50 мкл | -10… +110°C |
| Набор капилляров с держателем | Для водных и органических проб, где нужен ультрамикрообъем | Стекло | 3-5 мкл | -10… +70°C |
Аксессуары для измерения дзета-потенциала
| Модель | Описание | Материал | Объем образца | Диапазон температур |
| Сборка погружных электродов | Для водных и органических проб | ПЭЭК, платина | 1-1,5 мл | -10… +100°C |
| U-образная капиллярная одноразовая кювета | Для водных проб | Пластик | 0,75 мл | -10… +90°C |
Технология DLS (динамическое рассеяние света)

Динамическое рассеяние света (DLS), также известное как фотонная корреляционная спектроскопия (PCS) или квазиупругое рассеяние света (QELS), представляет собой технологию, используемую для обнаружения флуктуаций интенсивности рассеяния, вызванных броуновским движением частиц. В диспергенте более мелкие частицы движутся быстрее, а более крупные — медленнее.
Лавинный фотодиодный детектор (APD), расположенный под углом 90 °, собирает информацию о интенсивности рассеяния частиц и регистрирует их по времени. Зависимая от времени флуктуация преобразуется в корреляционную функцию с помощью коррелятора. Таким образом, применяя математический алгоритм, получают коэффициент диффузии D. Гидродинамический диаметр DH и его распределение рассчитываются с помощью уравнения Стокса-Эйнштейна:

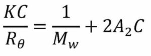
Технология SLS (cтатическое рассеяние света)
Статическое рассеяние света — это технология, которая измеряет интенсивность рассеяния, средневзвешенную молекулярную массу (Mw) и второй вириальный коэффициент (A2) образца с помощью уравнения Рэлея:

где C — концентрация образца, θ — угол обнаружения, Rθ — коэффициент Рэлея, используемый для характеристики отношения интенсивностей между рассеянным светом и падающим светом под углом θ, Mw — средневзвешенная молекулярная масса образца, A2 — второй вириальный коэффициент, а K — константа, связанная с (dn / dc) 2.

Технология ELS (электрофоретическое рассеяние света)
В водных системах частицы обычно несут заряды на поверхности в окружении противоионов, которые образуют прочный внутренний слой Штерна и внешний сдвиг слой. Дзета-потенциал — это электрический потенциал на границе раздела сдвиг слоя. Система суспензии с более высоким дзета-потенциалом имеет тенденцию быть более стабильной и с меньшей вероятностью образовывать агрегаты.
Электрофоретическое рассеяние света — это технология измерения электрофоретической подвижности с помощью доплеровского сдвига рассеянного освещает . Когда падающий свет освещает дисперсные частицы, которые подвергаются приложенному электрическому полю, частота рассеянного света частиц будет отличаться от падающего света из-за эффекта Доплера. Частотный сдвиг измеряется и преобразуется для обеспечения электрофоретической подвижности и следовательно дзета-потенциала образца по уравнению Генри:










































